Bentuk akar ialah salah satu pola bilangan irrasional. Bentuk ini pada awalnya sering diasumsikan sebagai produk dari teorema Pythagoras.
Sebagai contoh:

Dalam hal ini berlaku : Untuk a dan n yakni bilangan real tak negatif , maka

Bentuk akar dibagi dalam dua jenis, yakni
1. bentuk akar murni, misalnya

2. bentuk akar adonan yang ialah hasil perkalian antara bilangan rasional dan irrasional, misalnya.

Namun beberapa bentuk akar sanggup disederhanakan, ibarat diuraikan pada contoh-contoh soal diberikut ini
01. Sederhanakanlah
Jawab
02. Sederhanakanlah

Sifat-sifat operasi aljabar pada bentuk akar
Untuk a dan b bilangan real tak negatif serta m dan n yakni bilangan real sembarang, maka berlaku

Untuk memahami uraian di atas, ikutilah contoh-contoh soal diberikut ini
03. Sederhanakanlah

Jawab

04. Sederhanakanlah

Jawab

Teknik lain menyederhanakan bentuk akar yakni menyederhanakan bentuk penggalan yang memuat akar. Prosesnya yakni dengan merasionalkan penyebut pecahan
Merasionalkan penyebut penggalan sanggup dilakukan dengan cara mengalikan pembilang dan penyebut dengan suatu bentuk tertentu sehingga penyebut penggalan tersebut menjadi rasional. Terdapat dua bentuk pengali dalam hal ini, yaitu :
Bentuk 1
Untuk memahami uraian di atas, ikutilah contoh-contoh soal diberikut ini
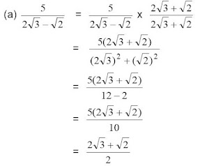
01. Sederhanakanlah

Jawab
Sebelum mengulas bentuk 2, terlebih lampau akan dikenalkan bentuk akar konjugat dari suatu bentuk akar, yakni :
Jika hasil kali dua bentuk akar yakni bilangan rasional, maka masing-masing dari kedua bentuk akar tersebut dinamakan faktor rasional atau bentuk akar konjugat dari bentuk akar yang lain

melaluiataubersamaini adanya bentuk konjugat ini, maka bentuk 2 sanggup dirumuskan sebagai:
Bentuk 2

Sebagai pola :
01. Sederhanakanlah setiap bentuk akar diberikut ini :
Jawab

02. Sederhanakanlah setiap bentuk akar diberikut ini :
Jawab
Sebagai contoh:
Dalam hal ini berlaku : Untuk a dan n yakni bilangan real tak negatif , maka
Bentuk akar dibagi dalam dua jenis, yakni
1. bentuk akar murni, misalnya
2. bentuk akar adonan yang ialah hasil perkalian antara bilangan rasional dan irrasional, misalnya.
Namun beberapa bentuk akar sanggup disederhanakan, ibarat diuraikan pada contoh-contoh soal diberikut ini
01. Sederhanakanlah
Jawab
02. Sederhanakanlah
Jawab
Sifat-sifat operasi aljabar pada bentuk akar
Untuk a dan b bilangan real tak negatif serta m dan n yakni bilangan real sembarang, maka berlaku
Untuk memahami uraian di atas, ikutilah contoh-contoh soal diberikut ini
03. Sederhanakanlah
Jawab
04. Sederhanakanlah
Jawab
Teknik lain menyederhanakan bentuk akar yakni menyederhanakan bentuk penggalan yang memuat akar. Prosesnya yakni dengan merasionalkan penyebut pecahan
Merasionalkan penyebut penggalan sanggup dilakukan dengan cara mengalikan pembilang dan penyebut dengan suatu bentuk tertentu sehingga penyebut penggalan tersebut menjadi rasional. Terdapat dua bentuk pengali dalam hal ini, yaitu :
Bentuk 1
Untuk memahami uraian di atas, ikutilah contoh-contoh soal diberikut ini
01. Sederhanakanlah
Jawab
Sebelum mengulas bentuk 2, terlebih lampau akan dikenalkan bentuk akar konjugat dari suatu bentuk akar, yakni :
Jika hasil kali dua bentuk akar yakni bilangan rasional, maka masing-masing dari kedua bentuk akar tersebut dinamakan faktor rasional atau bentuk akar konjugat dari bentuk akar yang lain
melaluiataubersamaini adanya bentuk konjugat ini, maka bentuk 2 sanggup dirumuskan sebagai:
Bentuk 2
Sebagai pola :
01. Sederhanakanlah setiap bentuk akar diberikut ini :
Jawab
02. Sederhanakanlah setiap bentuk akar diberikut ini :
Jawab
Emoticon