Sebelum mengulas permutasi akan dikenalkan terlebih lampau notasi faktorial, yaitu : Jika n bilangan asli, maka n faktorial ditulis n ! didefinisikan sebagai diberikut
n! = n (n - 1) (n - 2) (n - 3) … 3. 2. 1
Dan nol faktorial didefinisikan sebagai 0! = 1
Sebagai contoh
01. Hitunglah setiap nilai faktorial diberikut ini
Jawab

02. Uraikanlah bentuk faktorial diberikut ini:

Permutasi yakni proses pencacahan yang memperhatikan urutan atau formasi.
Sebagai rujukan diketahui himpunan P = {a, b, c, d}. Jika anggota himpunan P tersebut disusun dua-dua maka diperoleh himpunan yang anggotanya sebanyak 12 buah, yakni {ab, ac, ad, ba, bc, bd, ca, cb, cd, da, db, dc}. Banyaknya anggota himpunan ini sanggup pula ditentukan dengan hukum permutasi, yakni :
Jika n objek berlainan disusun r objek maka banyak susunannya sanggup ditentukan dengan rumus :
Untuk soal diatas banyaknya anggota himpunan P yakni n = 4 dan disusun dua-dua berarti r = 2, sehingga :
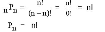
Jika yang disusun yakni seluruh anggota himpunan (n = r) maka banyaknya susunan sanggup ditentukan dengan rumus :

Sebagai rujukan empat buah roti yang berlainan akan disusun satu baris diatas meja, maka banyaknya susunan sanggup ditententukan dengan cara :

Jika diantara objek yang disusun ada objek-objek yang sama, maka banyaknya gugusan susunan sanggup ditentukan dengan hukum :

Dimana
n1, n2, n3, … , nk adalah banyaknya masing-masing unsur yang sama.
Sebagai rujukan banyaknya cara menyusun enam karakter dari huruf-huruf pada kata PANGAN adalah
Sedangkan n objek berlainan disusun r objek dimana objek-objek tersebut boleh muncul berulang, maka banyaknya susunan yang sanggup dibuat sanggup ditentukan dengan rumus
Sebagai rujukan dari anggota himpunan A = {p, q} disusun 6 objek dimana objek-objek tersebut boleh muncul berulang. Maka banyaknya susunan seluruhnya yakni …
Jika n objek disusun n objek seluaruhnya, dimana gugusan susunan dibuat melingkar (siklis) maka banyak susunan yang sanggup dibuat adalah
Pn = (n – 1) !
Sebagai rujukan enam tangkai bunga yang berlainan disusun melingkar diatas meja, maka banyaknya cara menyusunnya yakni :
P6 = (6 – 1)! = 5! = 120
Untuk lebih lengkapnya ikutilah rujukan soal diberikut ini :
03. Terdapat 8 orang juru masak di suatu restoran. Dari 8 orang ini ditunjuk secara acak 3 orang untuk memasak gulai rendang, sayur lodeh dan sambal daging. Tentukanlah banyaknya cara penunjukan tersebut
Jawab
n = 8 dan r = 3, maka
maka :
04. Tentukanlah banyaknya susunan 8 karakter dari huruf-huruf pada kata “MATAKAKI”
Jawab
05. Didalam sebuah rak terdapat delapan buku matematika yang terbagi ke dalam 3 kelompok bahasa, masing-masing tiga berbahasa Indonesia, tiga berbahasa Inggris dan 2 berbahasa Jerman. Buku-buku itu akan dibagikan kepada 7 orang siswa. Jika buku-buku berbahasa homogen yakni sama, maka tentukanlah banyaknya cara pemberian tersebut
Jawab
06. Suatu paket soal pilihan ganda sebanyak 4 nomor dengan pilihan jawabanan A, B, C, D, dan E. Jika siswa diminta menyilang salah satu pilihan yang dianggap paling benar, maka tentukanlah banyaknya gugusan jawabanan
Jawab
n = 5 dan r = 4
07. Empat buah bangku a, b, c dan d akan disusun mengelilingi sebuah meja. Tentukanlah banyaknya susunan keempat bangku tersebut
Jawab
n = 4, r = 4 dan gugusan melingkar
maka :
P = (4 – 1)! = 3! = 3 x 2 x 1 = 6 susunan
n! = n (n - 1) (n - 2) (n - 3) … 3. 2. 1
Dan nol faktorial didefinisikan sebagai 0! = 1
Sebagai contoh
01. Hitunglah setiap nilai faktorial diberikut ini
Jawab
02. Uraikanlah bentuk faktorial diberikut ini:
Permutasi yakni proses pencacahan yang memperhatikan urutan atau formasi.
Sebagai rujukan diketahui himpunan P = {a, b, c, d}. Jika anggota himpunan P tersebut disusun dua-dua maka diperoleh himpunan yang anggotanya sebanyak 12 buah, yakni {ab, ac, ad, ba, bc, bd, ca, cb, cd, da, db, dc}. Banyaknya anggota himpunan ini sanggup pula ditentukan dengan hukum permutasi, yakni :
Jika n objek berlainan disusun r objek maka banyak susunannya sanggup ditentukan dengan rumus :
Untuk soal diatas banyaknya anggota himpunan P yakni n = 4 dan disusun dua-dua berarti r = 2, sehingga :
Jika yang disusun yakni seluruh anggota himpunan (n = r) maka banyaknya susunan sanggup ditentukan dengan rumus :
Sebagai rujukan empat buah roti yang berlainan akan disusun satu baris diatas meja, maka banyaknya susunan sanggup ditententukan dengan cara :
Jika diantara objek yang disusun ada objek-objek yang sama, maka banyaknya gugusan susunan sanggup ditentukan dengan hukum :
Dimana
n1, n2, n3, … , nk adalah banyaknya masing-masing unsur yang sama.
Sebagai rujukan banyaknya cara menyusun enam karakter dari huruf-huruf pada kata PANGAN adalah
Sedangkan n objek berlainan disusun r objek dimana objek-objek tersebut boleh muncul berulang, maka banyaknya susunan yang sanggup dibuat sanggup ditentukan dengan rumus
Sebagai rujukan dari anggota himpunan A = {p, q} disusun 6 objek dimana objek-objek tersebut boleh muncul berulang. Maka banyaknya susunan seluruhnya yakni …
Jika n objek disusun n objek seluaruhnya, dimana gugusan susunan dibuat melingkar (siklis) maka banyak susunan yang sanggup dibuat adalah
Pn = (n – 1) !
Sebagai rujukan enam tangkai bunga yang berlainan disusun melingkar diatas meja, maka banyaknya cara menyusunnya yakni :
P6 = (6 – 1)! = 5! = 120
Untuk lebih lengkapnya ikutilah rujukan soal diberikut ini :
03. Terdapat 8 orang juru masak di suatu restoran. Dari 8 orang ini ditunjuk secara acak 3 orang untuk memasak gulai rendang, sayur lodeh dan sambal daging. Tentukanlah banyaknya cara penunjukan tersebut
Jawab
n = 8 dan r = 3, maka
maka :
04. Tentukanlah banyaknya susunan 8 karakter dari huruf-huruf pada kata “MATAKAKI”
Jawab
05. Didalam sebuah rak terdapat delapan buku matematika yang terbagi ke dalam 3 kelompok bahasa, masing-masing tiga berbahasa Indonesia, tiga berbahasa Inggris dan 2 berbahasa Jerman. Buku-buku itu akan dibagikan kepada 7 orang siswa. Jika buku-buku berbahasa homogen yakni sama, maka tentukanlah banyaknya cara pemberian tersebut
Jawab
06. Suatu paket soal pilihan ganda sebanyak 4 nomor dengan pilihan jawabanan A, B, C, D, dan E. Jika siswa diminta menyilang salah satu pilihan yang dianggap paling benar, maka tentukanlah banyaknya gugusan jawabanan
Jawab
n = 5 dan r = 4
07. Empat buah bangku a, b, c dan d akan disusun mengelilingi sebuah meja. Tentukanlah banyaknya susunan keempat bangku tersebut
Jawab
n = 4, r = 4 dan gugusan melingkar
maka :
P = (4 – 1)! = 3! = 3 x 2 x 1 = 6 susunan
Emoticon